• Предмет: Алгебра
  • Автор: Аноним
  • Вопрос задан 7 лет назад

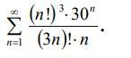
Исследовать числовой ряд на сходимость.

Приложения:

Ответы

Ответ дал: NNNLLL54
1

Ответ:

\displaystyle\sum \limits _{n=1}^{\infty }\frac{(n!)^{3}\cdot 30^{n}}{(3n)!\cdot n}\\\\\\\lim\limits_{n \to \infty}\, \frac{a_{n+1}}{a_{n}}=\lim\limits_{n \to \infty}\, \frac{(n!)^3\cdot (n+1)^3\cdot 30^{n+1}}{(3n)!(3n+1)(3n+2)(3n+3)\cdot (n+1)}\cdot \frac{(3n)!\cdot n}{(n!)^3\cdot 30^{n}}=\\\\\\=\lim\limits_{n \to \infty}\, \frac{(n+1)^3\cdot 30}{(3n+1)(3n+2)(3n+3)}=\lim\limits_{n \to \infty}\, \frac{n^3\cdot 30}{27n^3}=\frac{30}{27}=\frac{10}{9}>1\ ,\ rasxoditsya


Аноним: Спасибо огромное!
Можешь еще тут помочь, пожалуйста!
https://znanija.com/task/45814009
Вас заинтересует