• Предмет: Алгебра
  • Автор: Аноним
  • Вопрос задан 8 лет назад

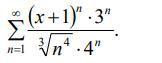
Найти область сходимости степенного ряда.

Приложения:

Ответы

Ответ дал: NNNLLL54
1

Ответ:

\displaystyle \sum \limits _{n=1}^{\infty }\frac{(x+1)^{n}\cdot 3^{n}}{\sqrt[3]{n^4}\cdot 4^{n}}\\\\\\\lim\limits_{n \to \infty}\, \frac{|u_{n+1}|}{|u_{n}|}=\lim\limits_{n \to \infty}\, \frac{|x+1|^{n+1}\cdot 3^{n+1}}{\sqrt[3]{(n+1)^4}\cdot 4^{n+1}}\cdot \frac{\sqrt[3]{n^4}\cdot 4^{n}}{|x+1|^{n}\cdot 3^{n}}=\frac{3}{4}\cdot |x+1|<1\\\\\\|x+1|<\frac{4}{3}\ \ \ \to \ \ \ -\frac{4}{3}<x+1<\frac{4}{3}\ \ ,\ \ \ -\frac{7}{3}<x<\frac{1}{3}

\displaystyle x=\frac{1}{3}:\ \ \sum \limits _{n =1}^{\infty }\frac{(\frac{4}{3})^{n}\cdot 3^{n}}{\sqrt[3]{n^4}\cdot 4^{n}}=\sum \limits _{n =1}^{\infty }\frac{1}{n^{4/3}}\ \ -\ sxoditsya\\\\\\x=-\frac{7}{3}:\ \ \sum \limits _{n =1}^{\infty }\frac{(-\frac{4}{3})^{n}\cdot 3^{n}}{\sqrt[3]{n^4}\cdot 4^{n}}=\sum \limits _{n =1}^{\infty }\frac{(-1)^{n}}{n^{4/3}}\ \ -\ sxoditsya\ absolutno\\\\\\x\in \Big[-\frac{7}{3}\ ;\ \frac{1}{3}\ \Big]


Аноним: Спасибо, можешь тут помочь?
https://znanija.com/task/45813933
Вас заинтересует