Ответы
Ответ дал:
1
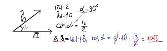
Ответ:
10√3
Объяснение:
Смотри на фото,там всё написано) Сделаешь мой ответ лучшим
Приложения:

Вас заинтересует
2 года назад
3 года назад
8 лет назад
9 лет назад