Из пружинного пистолета делают выстрел в горизонтальном направлении. Какую скорость имеет «шар» массой 50 г, если перед выстрелом пружина жесткостью 500 Н/м была сжата на 3 см?
Ответы
Ответ дал:
1
Ответ:
в файле
Объяснение:
Приложения:

artemag0622:
спасибо
Ответ дал:
2
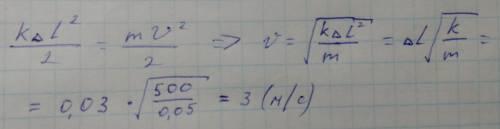
Потенциальная энергия сжатой пружины
E=k*x²/2
k - коэфф. жёсткости пружины 500 Н/м.
x - сжатие пружины 3 см=0,03 м.
-----
Эта энергия переходит при выстреле в кинетическую энергию шара.
E=mV²/2; m=50 г=0,05 кг ⇒
kx²/2 = mV²/2
kx²=mV²
V²=kx²/m
V=√(kx²/m)=x*√(k/m)
V=0,03 * √(500/0,05)=0,03 * √10 000=0,03 * 100=3 м/с - это ответ.
Вас заинтересует
2 года назад
2 года назад
3 года назад
3 года назад
8 лет назад
8 лет назад
9 лет назад
9 лет назад