• Предмет: Алгебра
  • Автор: milipops14
  • Вопрос задан 8 лет назад

РЕБЯТА ПОМОГИТЕ ПОЖАЛУЙСТА,НУЖЕО ЖО ПОНЕДЕЛЬНИКА ДАМ МНОГО БАЛЛОВ ПОЖАЛУЙСТА ОЧЕНЬ НУДНА ПОМОЩЬ

Приложения:

Ответы

Ответ дал: tatsach
1

Ответ:

Объяснение:

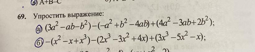
а)=3а^2-ab-b^2+a^2-b^2+4ab+4a^2-3ab+

2b^2=8a^2

b)=-x^2+x-x^3-2x^3+3x^2-4x+3x^3-5x^2-x

=-3x^2-4x

Ответ дал: alexsandroff007
0

Ответ:

a) 8a^2

б) -3х^2-4х

Объяснение:

(3a^2-ab-b^2)-(-a^2+b^2-4ab)+(4a^2-3ab

2b^2) = 3a^2-ab-b^2+a^2-b^2+4ab+4a^2-3ab+2b^2 = 8a^2+0+0 = 8a^2

-(x^2-x+x^3)-(2x^3-3x^2+4x)+(3x^3-5x^2-x) = -x^2+x-x^3-2x^3+3x^2-4x+3x^3-5x^2-x = -3x^2+0-4x = -3x^2+0-4x = -3x^2-4x

Вас заинтересует