• Предмет: Алгебра
  • Автор: avvvgust
  • Вопрос задан 8 лет назад

ПОМОГИТЕ СРОЧНО ПРОШУ. ДАЮ 100 БАЛЛОВ
можно пожалуйста подробно

Приложения:

Ответы

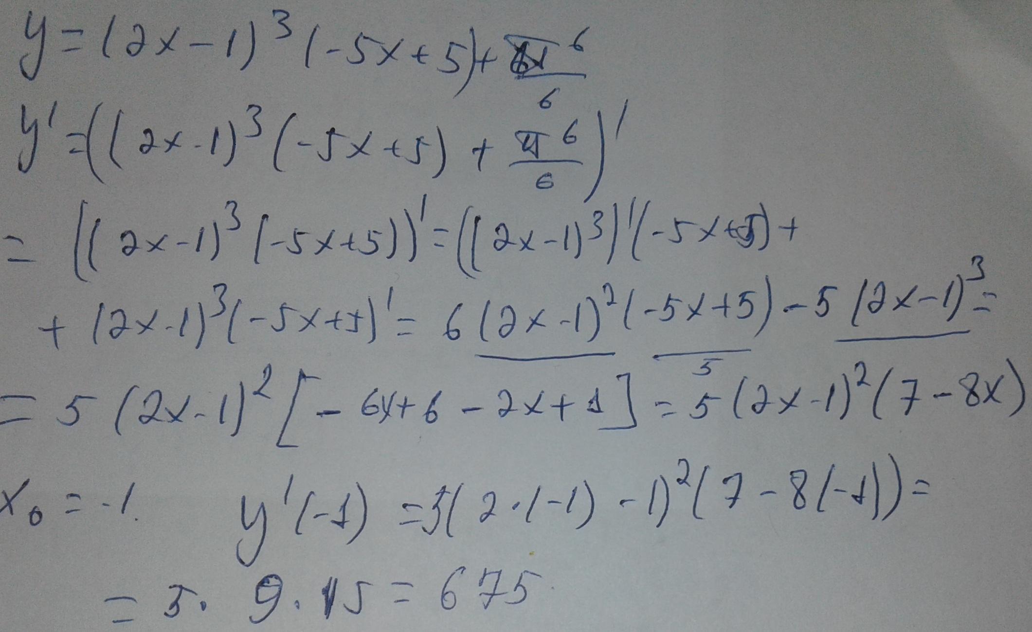
Ответ дал: Matematiktm
1

Ответ:

Объяснение:

Resheno

Приложения:

avvvgust: спасибо!!
Вас заинтересует