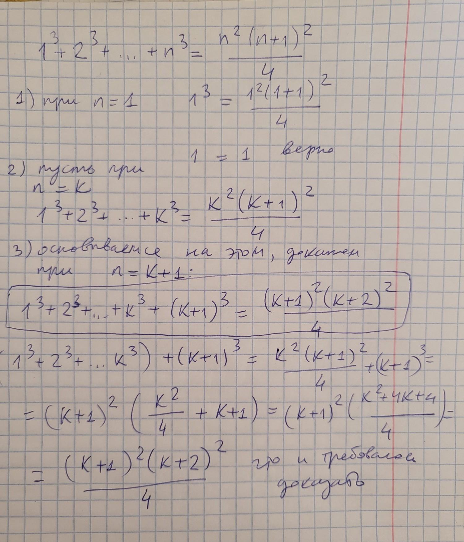
для натуральных чисел n докажите тождество 1³+2³+...n³=n²(n+1)²/4
Методом математической индукции
Ответы
Ответ дал:
1
решение приведено на фото
метод математической индукции
работает так:
1) проверяем доказываемое
тождество при n=1
2) делаем допущение, что при n=k
тождество верно
3) основываясь на этом допущении
доказываем то, что тождество сохраняется
при n= k+1
Приложения:

Вас заинтересует
3 года назад
3 года назад
8 лет назад
8 лет назад
9 лет назад
9 лет назад