• Предмет: Математика
  • Автор: worldmen
  • Вопрос задан 8 лет назад

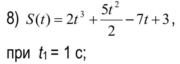
Tіло рухається за законом S (t). Знайти швидкість та прискорення тіла через t = t1 с після початку руху. ( S вимірюється в метрах).

Приложения:

Ответы

Ответ дал: palilov243659
2

Ответ:

Пошаговое объяснение:

v(t)=s'(t)=6t²+5t-7

v(1)=6+5-7=4 м/с

a(t)=v'(t)=12t+5

a(1)=12+5=17 м/с²

Вас заинтересует