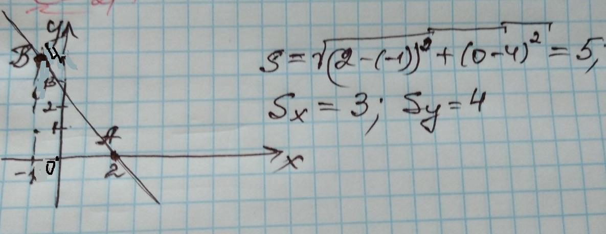
Тело переместилось из точки А с координатами (2;0) в точку В (-1;4). Сделать чертеж, найти перемещение тела и его ироекции на оси координат.
Помогите пожалуйста)
Ответы
Ответ дал:
2
Відповідь:
Пояснення:
Приложения:

mironovaleksandr1007:
Спасибо огромное
Вас заинтересует
2 года назад
2 года назад
3 года назад
3 года назад
8 лет назад
8 лет назад
9 лет назад
9 лет назад