• Предмет: Алгебра
  • Автор: dsaa5dasdas
  • Вопрос задан 7 лет назад

ПОМОГИТЕ!!!!!!!!!!!!!!!!!!!!!!!!!!!!!!!!!!!!!!!! Очень срочно!!!(((

Приложения:

Ответы

Ответ дал: Аноним
1

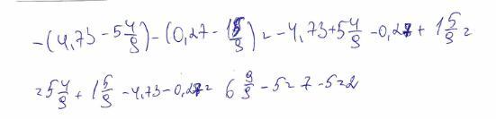
Ответ приведен в приложении.

Приложения:
Ответ дал: 8286505
0

Ответ:

ответ во вложении

Объяснение:

Приложения:
Вас заинтересует