• Предмет: Математика
  • Автор: Аноним
  • Вопрос задан 8 лет назад

Представьте в виде несокращенной дроби выражение​

Приложения:

Ответы

Ответ дал: parus77
1

Ответ:

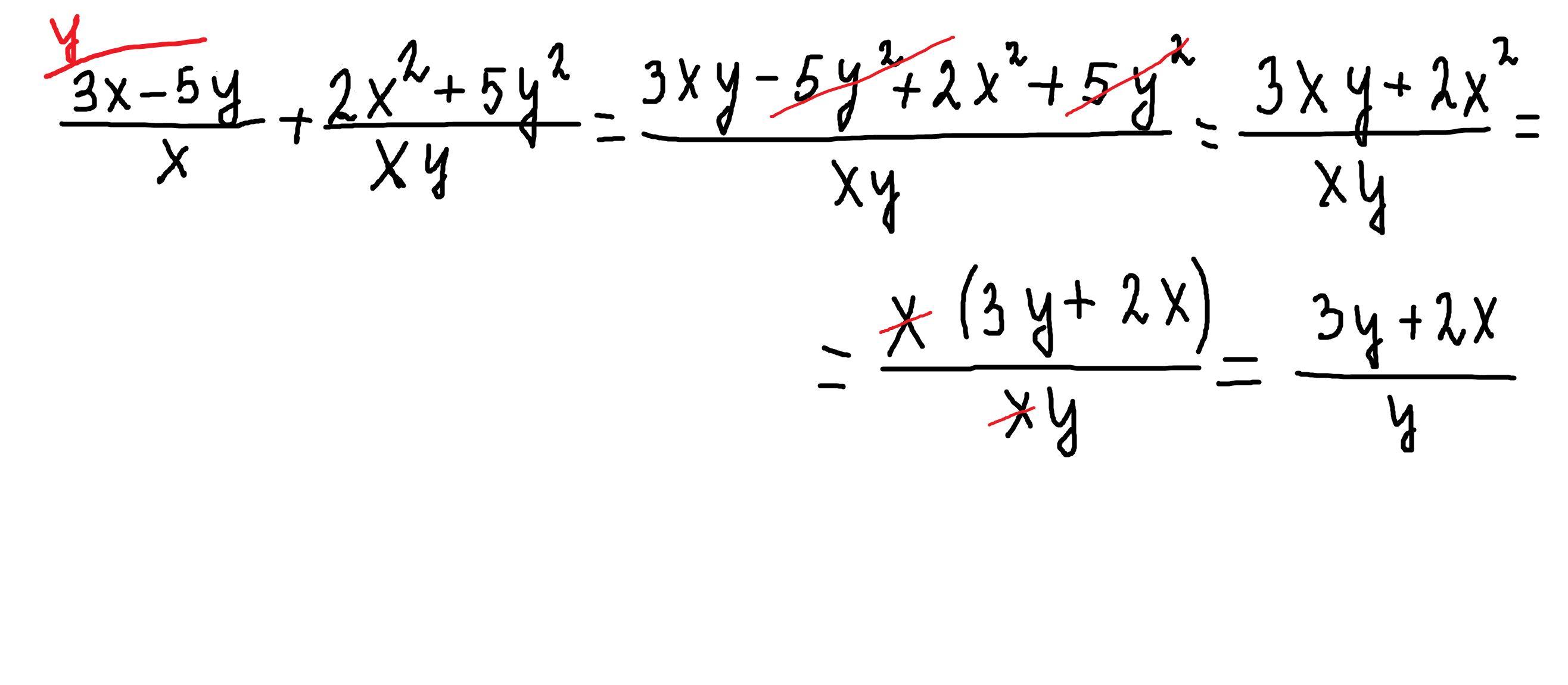
(3у+2х)\у

Пошаговое объяснение:

решение смотри внизу

Приложения:

Аноним: Спасибо большое:)
parus77: пожалуйста
Аноним: МНЕ ПОМОГИТЕ ПОЖАЛУЙСТА УМОЛЯЮ
Вас заинтересует