• Предмет: Алгебра
  • Автор: tatyanazueva04
  • Вопрос задан 8 лет назад

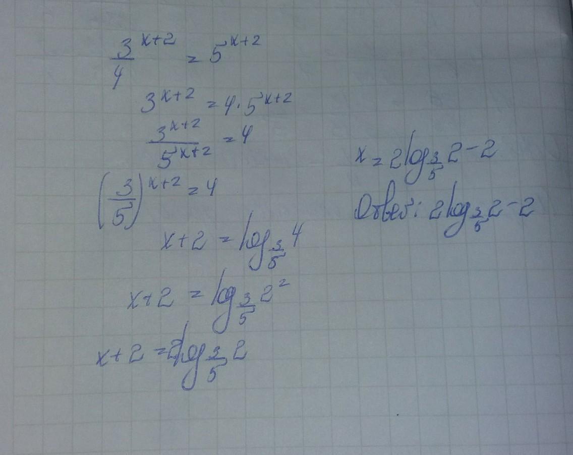
СРОЧНО 3 в степени х+2 делённое на 4 = 5 в степени х+2

Ответы

Ответ дал: mmb1
1

3^(x + 2) / 4 = 5^(x + 2)

3^(x + 2) / 5^(x + 2) = 4

(3/5)^(x + 2) = 4

log(3/5) (3/5)^(x + 2) = log(3/5) 4

x = log(3/5) 4  -  2

Ответ дал: anuapolina08
1

Ответ:

2log(3/5)2-2

Объяснение: в скобках основание логарифма.

Решение к заданию на фото.

Приложения:
Вас заинтересует