Ответы
Ответ дал:
1
Ответ:
Смотри решение на фото ниже
Приложения:

Ответ дал:
1
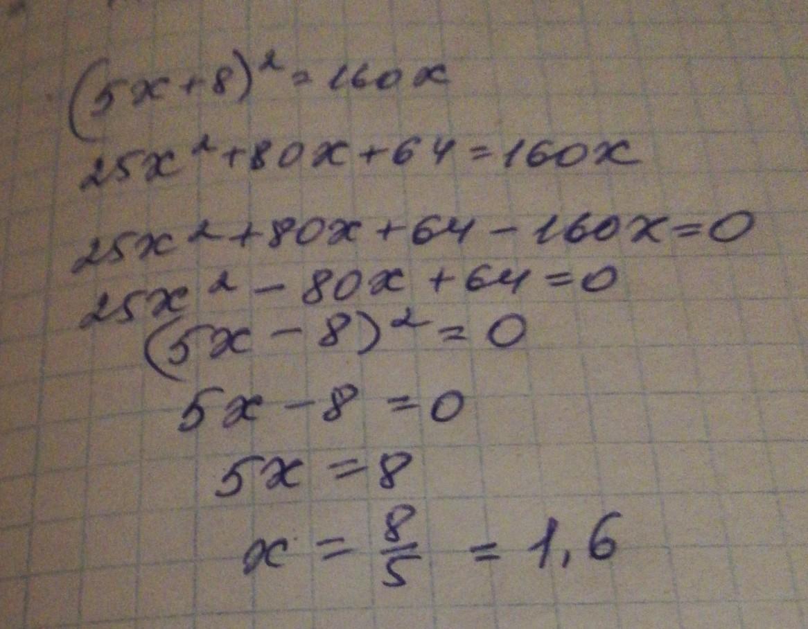
(a + b)² = a² + 2ab + b² - квадрат суммы
- - - - - - - - - - - - - - - - - - - - - - - - - - - - - - - -
(5х + 8)² = 160х
(5х)² + 2 · 5х · 8 + 8² = 160х
25х² + 80х + 64 - 160х = 0
25х² - 80х + 64 = 0
D = b² - 4ac = (-80)² - 4 · 25 · 64 = 6400 - 6400 = 0
Так как дискриминант равен 0, то уравнение имеет только один корень
х = (-b±√D)/(2a) = (80±0)/(2·25) = 80/50 = 8/5 = 1 целая 3/5 = 1,6
Ответ: 1,6.
Вас заинтересует
2 года назад
2 года назад
3 года назад
8 лет назад
8 лет назад