Чему равен знаменатель геометрической прогрессии, если ее второй член равен 1, а шестой 1/81? Пожалуйста с обьяснением)
Ответы
Ответ дал:
0
Дано: b2=1, b6=1/81. Так как q=const, воспользуемся формулой:
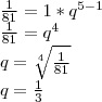
Для этого представим новую последовательность, где b1=1, b5=1/81. Тогда получим (см. рисунок)
Для этого представим новую последовательность, где b1=1, b5=1/81. Тогда получим (см. рисунок)
Приложения:

Вас заинтересует
2 года назад
8 лет назад
10 лет назад