• Предмет: Алгебра
  • Автор: catcat13
  • Вопрос задан 10 лет назад

Найти производные функции:

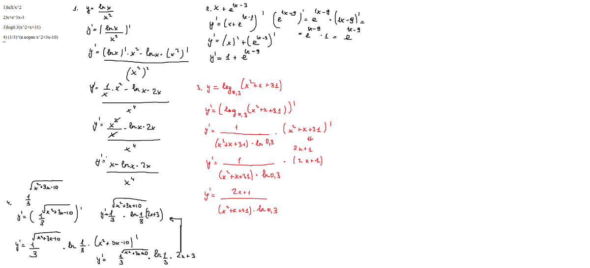
1)lnX/x^2

2)x+e^1x-3

3)log0.3(x^2+x+31)

4) (1/3)^(в корне x^2+3x-10)=

Ответы

Ответ дал: nonikya
0
решение во вложении.

в последнем, правда, не уверен.

Приложения:
Вас заинтересует