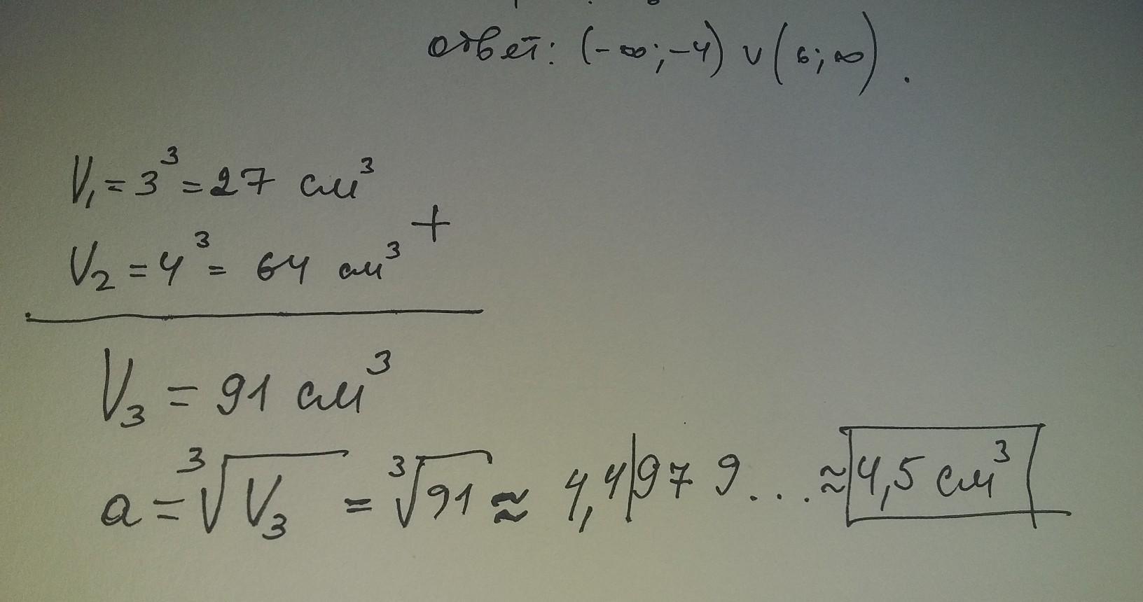
Расплавив два железных куба с ребрами 3см и 4см, получили один куб . Найдите приближенное значение длины ребра полученного куба в сантиметрах. Результат округлите до десятых.
jekadva:
=4,5
Ответы
Ответ дал:
1
Пошаговое объяснение:
лвлылыововооввовововг
Приложения:

Вас заинтересует
2 года назад
3 года назад
8 лет назад
8 лет назад
9 лет назад