• Предмет: Математика
  • Автор: MyPotter
  • Вопрос задан 8 лет назад

Помогите пожалуйста:

а) Найдите 10% от числа 0,(12);
в) Найдите 3,(1) числа 45;

Приложения:

MyPotter: я уже сама нашла :)
MyPotter: ответ

Ответы

Ответ дал: zarazabynyan
1

Ответ:

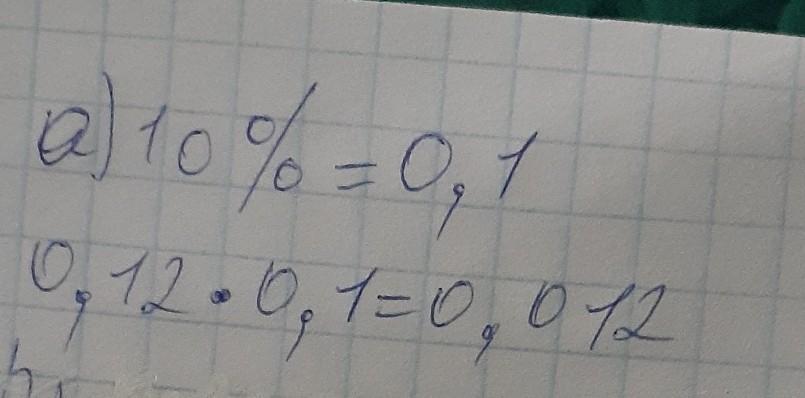
а)10%=0,1

0,12*0,1=0,012

в)3,(1)=3,1/9=28/9

45*28/9=140

Приложения:

MyPotter: спасибо
MyPotter: я решила сама, у меня почему то не 0,012, а 1,2
MyPotter: я умножила просто
MyPotter: сами проценты
MyPotter: спасибо большое
zarazabynyan: не за что
Ответ дал: 4585o7k5099
0

Ответ:

Пошаговое объяснение:

переведем бесконечное число в дробь

0,(12)=\frac{12}{99}

теперь \frac{12}{99} - 100%

x - 10 %

x=\frac{\frac{12}{99}*10}{100}=\frac{\frac{12}{99}}{10}  =\frac{12}{990}=\frac{6}{495}=\frac{2}{165} или 0,0(12)

я пошел длинным путём...

3,(1) числа 45

45 - 100%

3.(1) - x

3,(1)=\frac{31-3}{9}=\frac{28}{9}

x=\frac{\frac{28}{9}*100 }{45}=6\frac{74}{81}=6,91 %

Вас заинтересует