• Предмет: Математика
  • Автор: valeriyaskobeleva04
  • Вопрос задан 8 лет назад

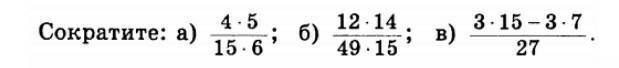
помогите пж!! просьба решение прикрепить на фото​

Приложения:

Ответы

Ответ дал: lion4ik71
0

Ответ:

А)2/9

Б) 56/244

В) 8/9

Пошаговое объяснение:

все правильно

Вас заинтересует