Ответы
Ответ дал:
1
Ответ:
!!!!!
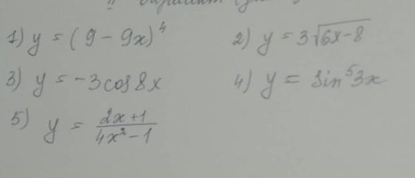
Насчет 4-го не уверен правильно ли решил , пардон
Приложения:

Вас заинтересует
2 года назад
2 года назад
3 года назад
8 лет назад
8 лет назад
9 лет назад