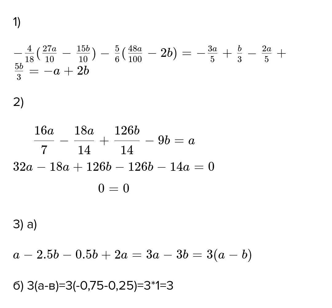
УМОЛЯЮ ПОМОГИТЕ!!!СРОЧНО!!!ДАМ 40 БАЛЛОВ Раскройте скобки и упростите выражение: 10.jpg Задание 2 (30 баллов). Докажите тождество: image002.gif Задание 3. а) Максимально упростите выражение (30 баллов): 12.jpg б) Найдите значение упрощённого выражения a =13.jpg; b = 0,25 (10 баллов).
Приложения:

Ответы
Ответ дал:
6
Пошаговое объяснение:
.........................
Приложения:

annybobrowa:
Это верно????
Вас заинтересует
2 года назад
2 года назад
3 года назад
8 лет назад
8 лет назад
9 лет назад