• Предмет: Алгебра
  • Автор: nikushaboo
  • Вопрос задан 10 лет назад

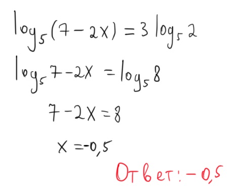
помогите решить уравнение  log_{5} (7-2x)=3 log_{5} 2

Ответы

Ответ дал: nikolac
0
Решение на картинке.
Приложения:
Вас заинтересует