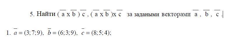
Это задание с высшей математики. раздел "элементы векторной алгебры". Помогите, плиз, знаю как сделать первый, но не второй(
Приложения:

Ответы
Ответ дал:
0
Відповідь:
{273; 408; -36 }=273i+408j-36k
Покрокове пояснення:
А если 2 зделать последовательно
a × b = {a_yb_z - a_zb_y; a_zb_x - a_xb_z; a_xb_y - a_yb_x}
a × b = {7·9 - 9·3; 9·6 - 3·9; 3·3 - 7·6} ={36; 27; -33}
теперь
(a × b)×с={27·4-(-33)·5; -33·8-36·4; 36·5-27·8}={273; 408; -36 }
Вас заинтересует
2 года назад
2 года назад
3 года назад
3 года назад
8 лет назад
8 лет назад
9 лет назад