Ответы
Ответ дал:
1
Ответ:
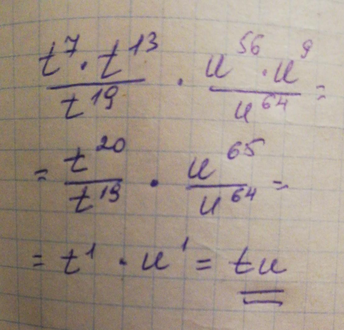
Смотри решение на фото ниже
Приложения:

misspinkk:
спасибки!!
Ответ дал:
0
Ответ:
t*u потому что при умножение и деление степеней с одинаковыми основаниями показатели складываются (умножение) и вычитаются (деление)
Объяснение:
Вас заинтересует
3 года назад
3 года назад
8 лет назад
8 лет назад