• Предмет: Алгебра
  • Автор: xXxxSouLxxXx
  • Вопрос задан 8 лет назад

СРОЧНО, ДАМ 50 БАЛЛОВ!
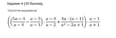
Задание 4 (30 баллов). Упростите выражение:

Приложения:

Ответы

Ответ дал: bb573878
24

Ответ:

8

Объяснение:

\displaystyle\Bigg(\bigg(\frac{5a-4}{a-4} -\frac{a-5}{a-1} \bigg)\cdot\frac{a-4}{a-2} +\frac{4a\cdot(a-1)}{a^2-2a+1} \Bigg)\cdot\frac{a-1}{a+1} =8\\\\\\1)\ \frac{5a-4}{a-4} -\frac{a-5}{a-1}=\frac{(5a-4)(a-1)-(a-4)(a-5)}{(a-4)(a-1)}\\\\\\= \frac{5a^2-4a-5a+4-a^2+4a+5a-20}{(a-4)(a-1)} =\\\\\\=\frac{4a^2-16}{(a-4)(a-1)}= \frac{4(a^2-4)}{(a-4)(a-1)}=\frac{4(a-2)(a+2)}{(a-4)(a-1)} \\\\\\2)\ \frac{4(a-2)(a+2)}{(a-4)(a-1)} \cdot\frac{a-4}{a-2}=\frac{4(a+2)}{a-1}  =\frac{4a+8}{a-1} \\\\\\

\displaystyle\\\\3)\ \frac{4a+8}{a-1} +\frac{4a\cdot(a-1)}{a^2-2a+1}=\frac{4a+8}{a-1}+\frac{4a\cdot(a-1)}{(a-1)^2} =\\\\\\=  \frac{4a+8}{a-1}+\frac{4a}{a-1}=\frac{8a+8}{a-1} =\frac{8(a+1)}{a-1} \\\\\\4)\ \frac{8(a+1)}{a-1}\cdot\frac{a-1}{a+1} =\bold8


Аноним: все верно?
9067201919m: Спасибо
dyatkomaryam: Точно верно?
Вас заинтересует