• Предмет: Алгебра
  • Автор: sofiyaahmet
  • Вопрос задан 8 лет назад

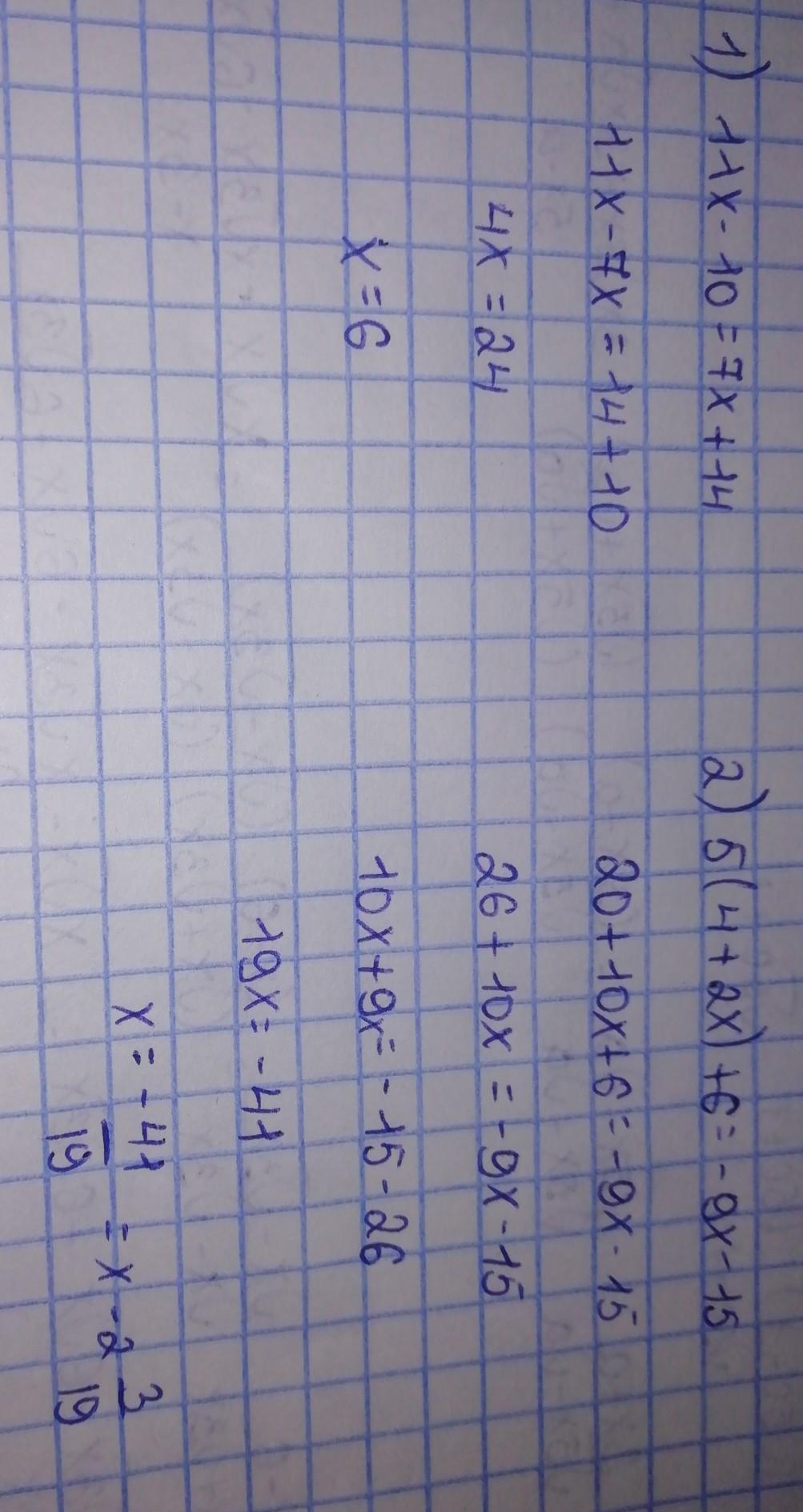
Решите уравнения: 1) 11х-10=7х+14 2) 5(4+2х)+6=-9х-15

Ответы

Ответ дал: adiorynbasar
0

Ответ:

Данное решение делается так

Приложения:
Вас заинтересует