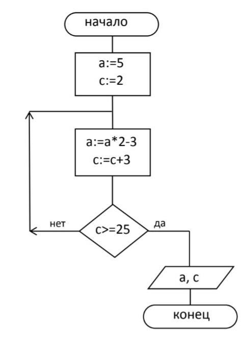
Нужно составить по данной блок схеме программу на языке Паскаль
Помогите пожалуйста *_*
Приложения:

Ответы
Ответ дал:
1
Ответ:
var
a,c: integer;
begin
a := 5;
c := 2;
a := a * 2 - 3;
c := c + 3;
if c >= 25 then begin
a := a * 2 - 3;
c := c + 3;
end
else writeln(a, c);
end.
Вас заинтересует
2 года назад
3 года назад
9 лет назад