• Предмет: Алгебра
  • Автор: olagajsenuk
  • Вопрос задан 8 лет назад

допомодіть будь ласка!!!
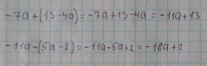
-7а+(13-4а)=
-11а- (5а-2)=

Ответы

Ответ дал: kalibekulyasylbek10
2

Ответ:

13 - 4.5 * a = 2 * 3.7 - 2 * 0.5 * a;

13 - 4.5 * a = 7.4 - a;

Ответ дал: 20error21
1

Не за что)>)>)>)>)>)>)>)>))>)))))

Приложения:
Вас заинтересует