• Предмет: Алгебра
  • Автор: panchenko89
  • Вопрос задан 8 лет назад

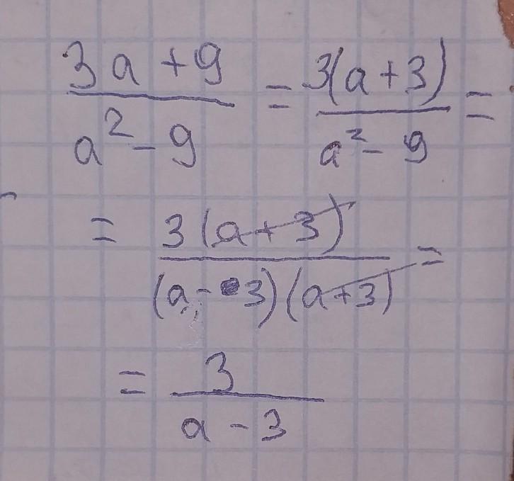
За +9
Скороти дріб
а2 — 9

Приложения:

Ответы

Ответ дал: khusanovarobia
0

Ответ:

отметь пожалуйста лучший ответ и лайкни

Приложения:
Ответ дал: augmemtepernet
0

Объяснение:

можно пожалуйста лучший ответ?

Приложения:
Вас заинтересует