Ответы
Ответ дал:
1
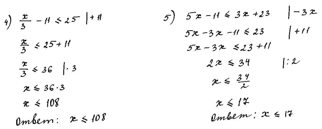
Ответ:короче тут все написано. Если что это 100процент правильно
Объяснение:
Приложения:

Ответ дал:
2
Объяснение:
Решение на фото.
Приложения:

Вас заинтересует
2 года назад
2 года назад
3 года назад
3 года назад
9 лет назад
9 лет назад