Ответы
Ответ дал:
1
Ответ:
import math
x=int(input("Введите x:\n"))
y=int(input("Введите y:\n"))
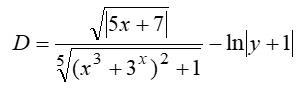
print((abs(5*x+7))**0.5/((x**3+3**x)**2+1)**0.2-math.log(abs(y+1)))
Объяснение:
Вас заинтересует
2 года назад
2 года назад
3 года назад
3 года назад
10 лет назад