• Предмет: Алгебра
  • Автор: zukovaekaterina963
  • Вопрос задан 7 лет назад

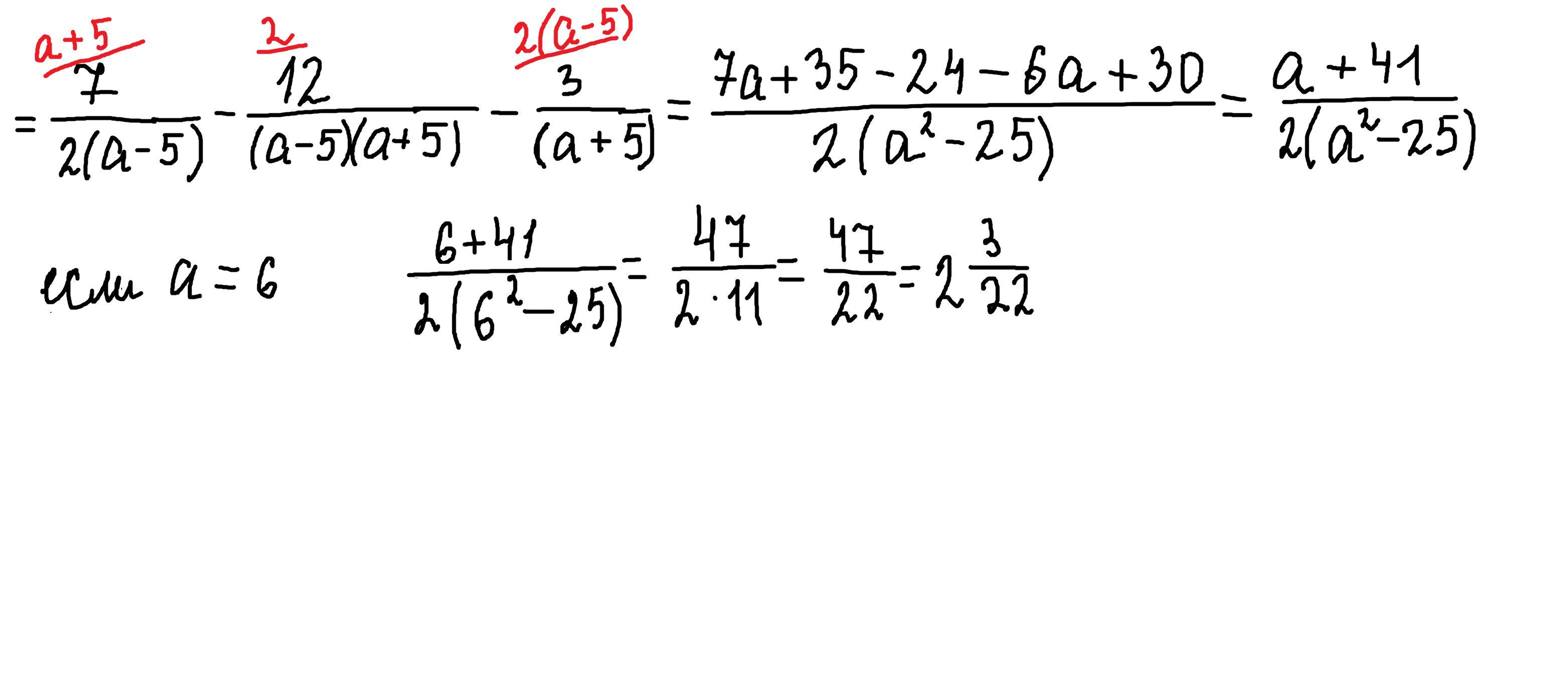
помогите пожалуйста, обязательно с решением ​

Приложения:

Ответы

Ответ дал: parus77
1

Ответ:

2  3\22

Объяснение:

Приложения:
Вас заинтересует