• Предмет: Математика
  • Автор: annna85
  • Вопрос задан 8 лет назад

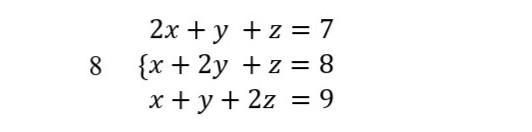
помогите пожалуйста решить методом треугольника

Приложения:

Ответы

Ответ дал: dnepr1
1

Есть разновидность метода треугольников, называемая методом Саррюса.

Справа от коэффициентов заданной матрицы дописывается 2 первых столбца и перемножаются по диагонали: направо с плюсом и налево с минусом.

2     1      1|      2       1

1      2     1|       1        2

1      1      2|      1        1 = 2*2*2 + 1*1*1 + 1*1*1 - 1*1*2 - 2*1*1 - 1*2*1  =

                                   = 8 + 1 + 1 - 2 -2 - 2 = 4.

Этим способом мы нашли главный определитель заданной системы.

Решение же самой системы находим по методу Крамера (это наиболее простой метод).

Общий вид системы линейных уравнений Ax = B       

A = 2     1       1     B =  7

       1      2       1           8  

       1       1       2          9        

|A|= 4.

Нахождение последующих матриц выполняется тем же способом, что и главной матрицы.      

Dx1 =  7      1       1      

         8      2       1 = 4     x1 = 4/4 =  1

         9      1        2        

Dx2 =  2     7      1      

          1       8       1 = 8       x2 = 8/4 =  2

          1       9       2        

Dx3 = 2      1        7      

          1      2       8 = 12        x3 = 12/4 =  3.

          1       1       9

Вас заинтересует