• Предмет: Физика
  • Автор: kokosik051
  • Вопрос задан 8 лет назад

Помогите пожалуйста
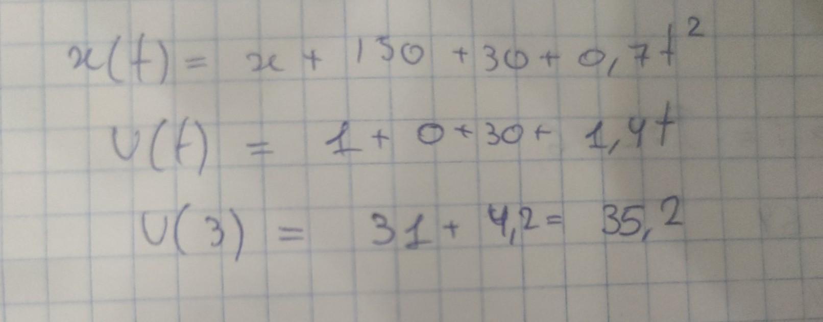
Движение легкового автомобиля задано уравнением: х+150+30t+0,7t^2 ,м. Чему равна скорость автомобиля через 3 секунды?

Ответы

Ответ дал: Aisman145
0

Объяснение:

Скорость есть производная от функции.

Приложения:
Вас заинтересует