Ответы
Ответ дал:
1
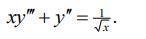
Ответ:
Объяснение:
Задача решено
Приложения:

Вас заинтересует
2 года назад
3 года назад
3 года назад
8 лет назад
9 лет назад
можешь тут помочь, пожалуйста!
https://znanija.com/task/45865932