• Предмет: Алгебра
  • Автор: Apxangel
  • Вопрос задан 10 лет назад

упростите
√√17+12√2
Всё под первым корнем

Ответы

Ответ дал: Vladislav006
0
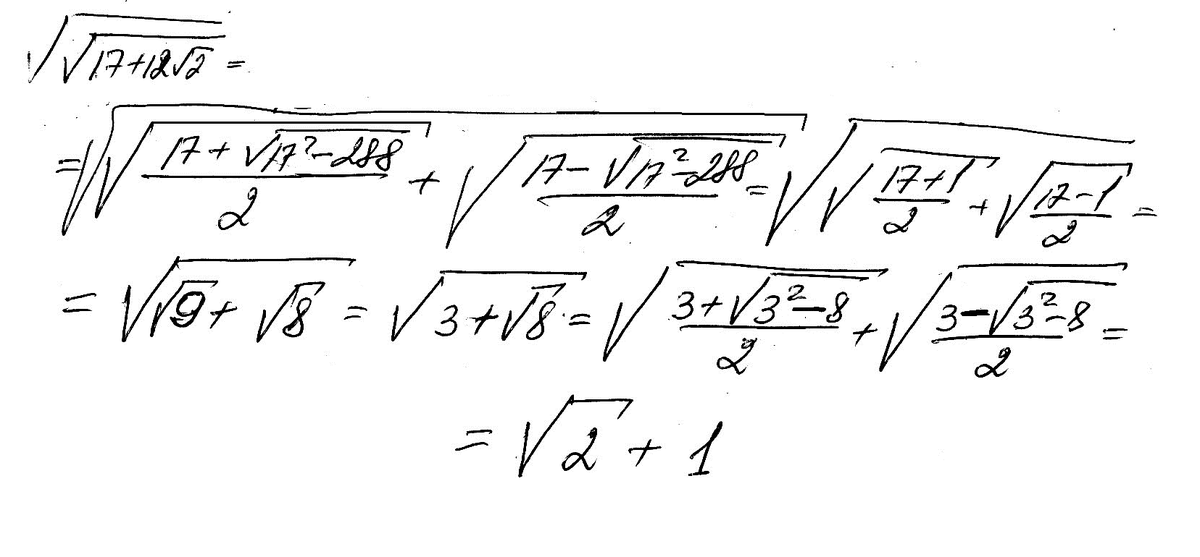
Решение ниже в приложении
Приложения:
Ответ дал: mmb1
0
 sqrt{ sqrt{17+12 sqrt{2} }}=  sqrt{ sqrt{9+12 sqrt{2}+8 }}= \ sqrt{ sqrt{3^2+2*3*2 sqrt{2}+(2 sqrt{2} )^2 }}= \ sqrt{ sqrt{(3+2 sqrt{2})^2 }}= sqrt{3+2 sqrt{2} }= sqrt{1^2+2 sqrt{2}+ sqrt{2}^2  } = \  sqrt{( sqrt{2}+1 )^2} = sqrt{2}+1
Приложения:
Вас заинтересует