• Предмет: Математика
  • Автор: RuslanRussia1881
  • Вопрос задан 8 лет назад

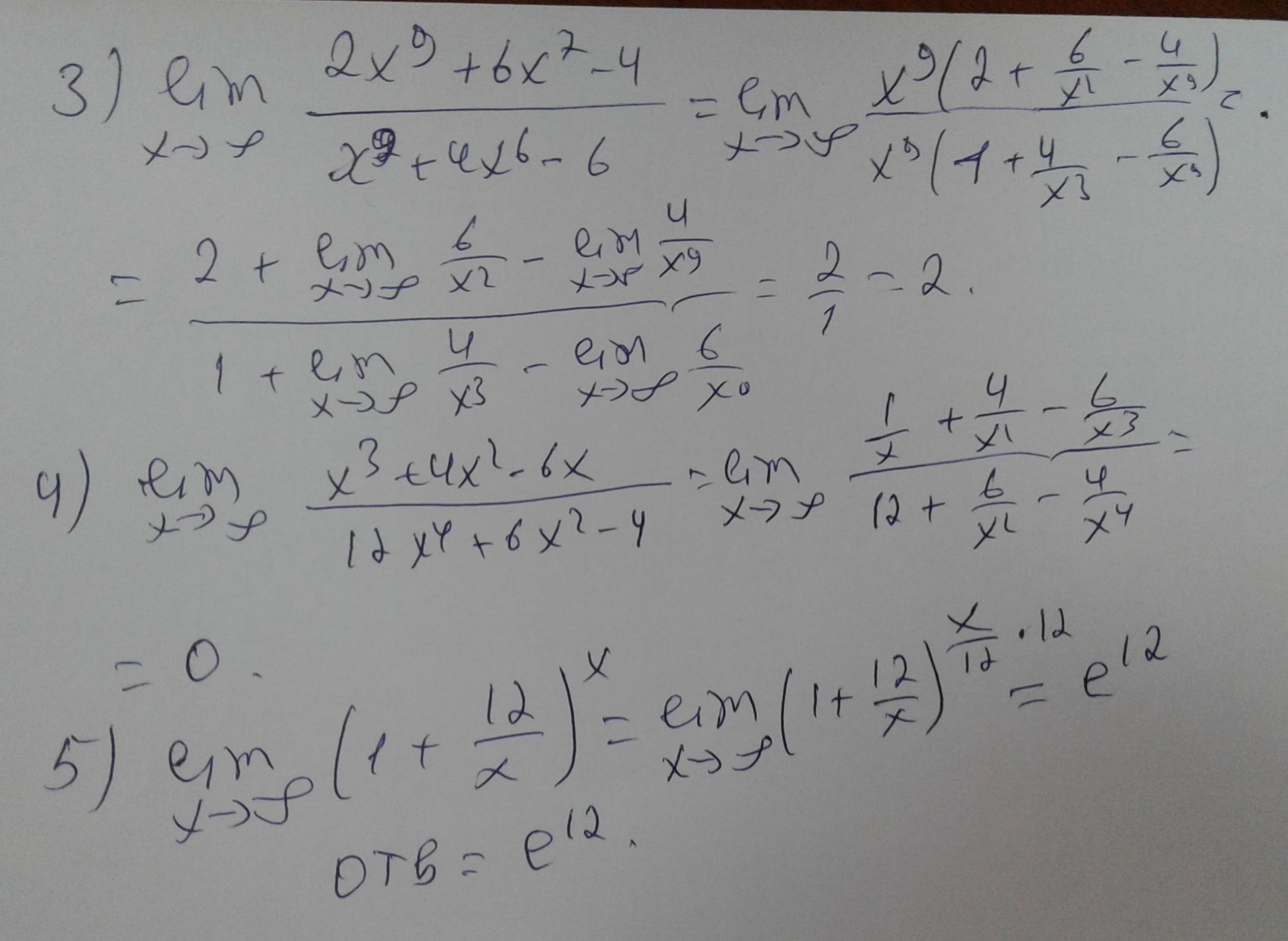
вычислить пределы....​

Приложения:

Ответы

Ответ дал: Matematiktm
1

Ответ:

Пошаговое объяснение:

resheno

Приложения:

RuslanRussia1881: спасибо вам огромное.вы мне очень сильно помогли
Вас заинтересует