Ответы
Ответ дал:
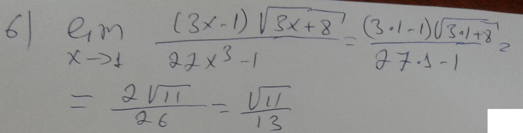
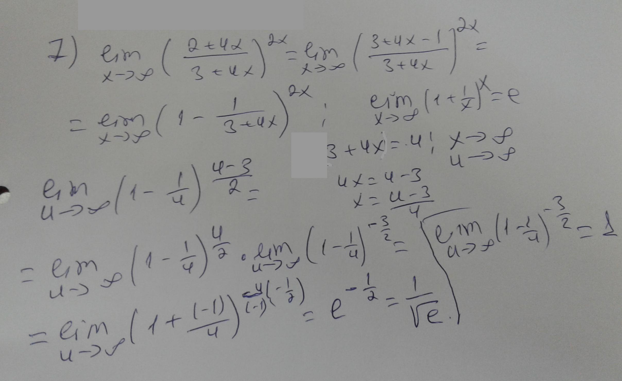
1
Ответ:
Пошаговое объяснение:
resheno
Приложения:
RuslanRussia1881:
извините не могли бы вы еще мне помочь?
вычислить пределы....
https://znanija.com/task/45862517?utm_source=android&utm_medium=share&utm_campaign=question
https://znanija.com/task/45862517?utm_source=android&utm_medium=share&utm_campaign=question
алгебра срочно помогите пожалуйста
https://znanija.com/task/45862510?utm_source=android&utm_medium=share&utm_campaign=question
https://znanija.com/task/45862510?utm_source=android&utm_medium=share&utm_campaign=question
Вас заинтересует
2 года назад
2 года назад
3 года назад
3 года назад
9 лет назад
9 лет назад