• Предмет: Математика
  • Автор: zautsevatanya1820
  • Вопрос задан 8 лет назад

помогите решить(с объяснением)
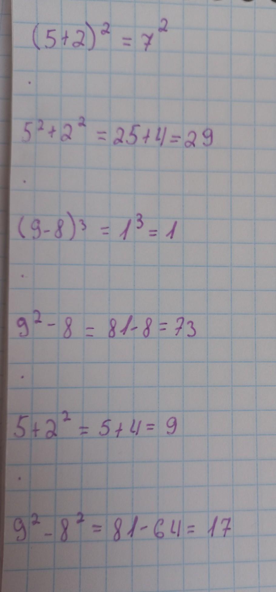
(5+2)²
5²+2²
(9-8)³
9²-8
5+2²
9²-8²​

Ответы

Ответ дал: muzonnasta564
1

Пошаговое объяснение:

Там де є в степені ми просто множимо на себе тобто 5+2²=2×2=5+4=9

Коли є 9² ми множимо на себе в нас получиться 81 адже 9×9=81

Надіюсь зрозуміло об'яснила )

Приложения:

zautsevatanya1820: спасибі велике, я все зрозуміла)
Ответ дал: tsweetbeart
0

Пошаговое объяснение:

Надеюсь понятно...........

Приложения:
Вас заинтересует