Ответы
Ответ дал:
0
Пошаговое объяснение:
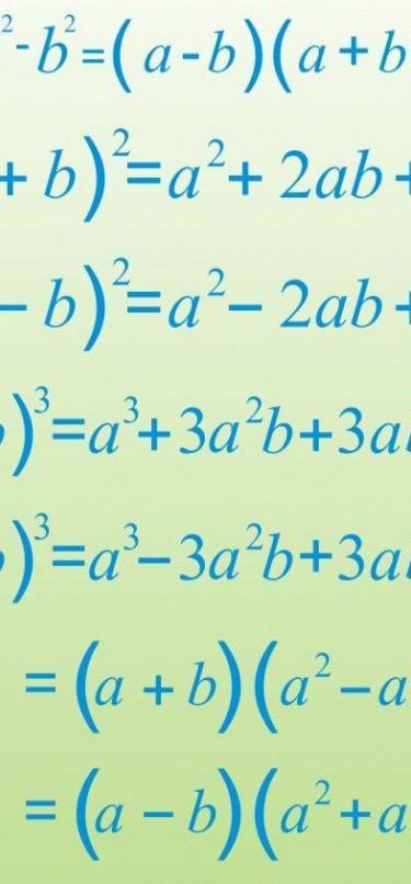
посмотри так?вродебы так
Приложения:

Вас заинтересует
2 года назад
2 года назад
3 года назад
3 года назад
8 лет назад
8 лет назад
9 лет назад