• Предмет: Математика
  • Автор: Аноним
  • Вопрос задан 8 лет назад

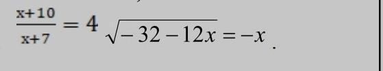
Рубята можете помочь с алгеброй с пошаговым рением​

Приложения:

Ответы

Ответ дал: karinaernazarova030
0

Ответ:

надеюсь помогла отметь лучшим пж

Приложения:
Вас заинтересует