• Предмет: Алгебра
  • Автор: hangtry008
  • Вопрос задан 8 лет назад

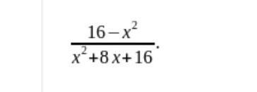
Помогите пожалуйста сократить дробь!

Приложения:

Ответы

Ответ дал: Gimngazia
2

\frac{16-x^2}{x^2+8x+16} =\frac{4^2-x^2}{x^2+2*1*4+4^2} =\frac{(4+x)(4-x)}{(x+4)^2} =\frac{4-x}{x+4}

Вас заинтересует