• Предмет: Математика
  • Автор: atymtaevelaman24
  • Вопрос задан 8 лет назад

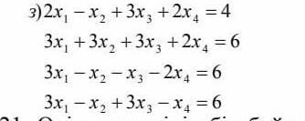
помогите решить СРОЧНО!!

Приложения:

Ответы

Ответ дал: tancye89
0

Ответ:

Ето один приклад или несколько я в коментах решу


atymtaevelaman24: один
tancye89: окі
tancye89: ща
Вас заинтересует