• Предмет: Алгебра
  • Автор: PyshkaBaBe
  • Вопрос задан 8 лет назад

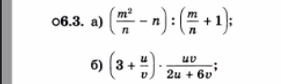
6.3 пoд буквoй a. полное решение ​

Приложения:

Ответы

Ответ дал: ninanikiina
0

Смотрите вложение

Объяснение:

Приложения:

PyshkaBaBe: помодешь ещё умоляююю
PyshkaBaBe: маи вопросики чекни
Вас заинтересует