• Предмет: Алгебра
  • Автор: tanaberezovskkaa133
  • Вопрос задан 8 лет назад

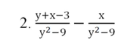
Помогите пожалуйста. СРОЧНО!!! ​

Приложения:

Ответы

Ответ дал: radomirostroverhov45
0

Ответ:

ответ решения на фото.

Объяснение:

Удачи.

Приложения:
Вас заинтересует