• Предмет: Математика
  • Автор: tanaberezovskkaa133
  • Вопрос задан 8 лет назад

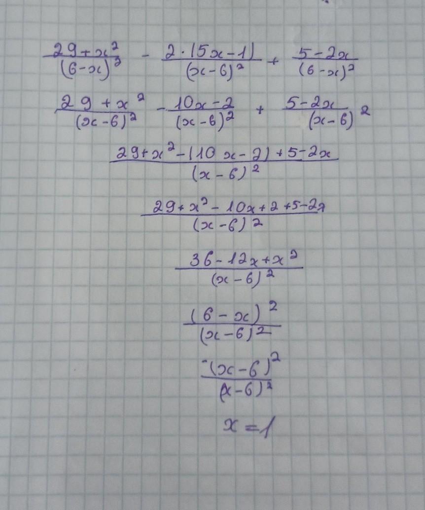
ПОМОГИИИТЕ ПОЖАЛУЙСТА!! СРОЧНО ОЧЕНЬ!!! ​

Приложения:

Ответы

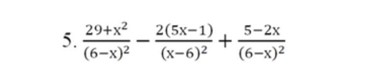
Ответ дал: lunoanna9
0

Ось тримай тут поступово розписано

Приложения:
Вас заинтересует