• Предмет: Математика
  • Автор: Hukfde42
  • Вопрос задан 8 лет назад

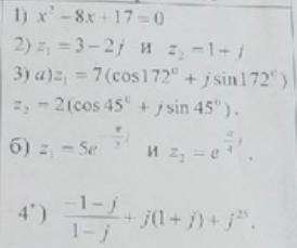
Действия над комплексными числами.
Фото 1- это обьяснение задания, а фото 2- (что нужно решать)
Срочно нужно!

Приложения:

Ответы

Ответ дал: egornarbut257
0

Ответ:

Комплексное число — это выражение вида a + bi, где a, b — действительные числа, а i — так называемая мнимая единица, символ, квадрат которого равен –1, то есть i2 = –1. Число a называется действительной частью, а число b — мнимой частью комплексного числа z = a + bi. Если b = 0, то вместо a + 0i пишут просто a. Видно, что действительные числа — это частный случай комплексных чисел.

Вас заинтересует