• Предмет: Алгебра
  • Автор: ersainovamerej559
  • Вопрос задан 8 лет назад

Срочно нужно
по алгебре номер 8.19​

Приложения:

Ответы

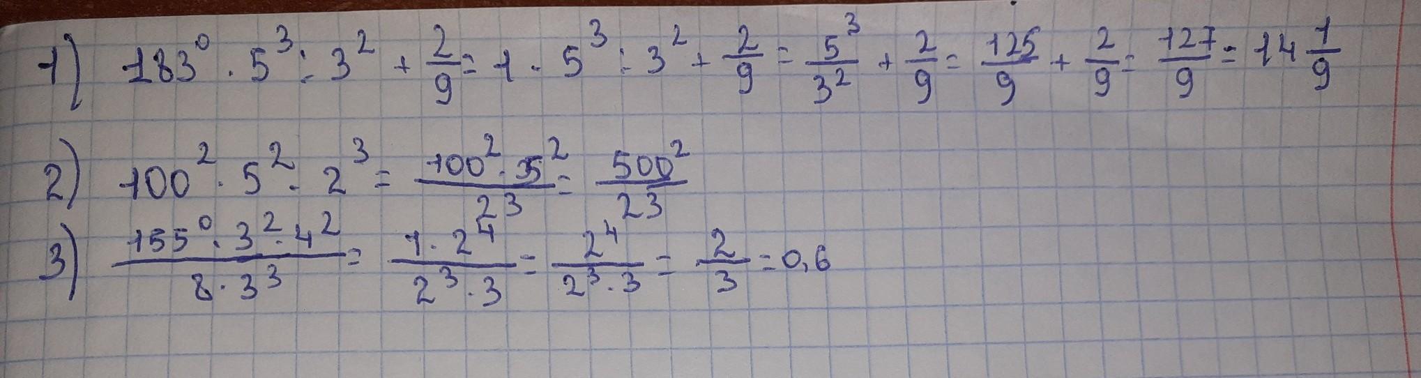
Ответ дал: sakibekovaasel270
0

Ответ:

вот,надеюсь правильно!!

Приложения:

ersainovamerej559: Спасибо
Вас заинтересует