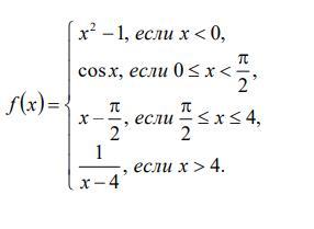
Исследовать непрерывность функции f (x). Найти точки разрыва функции и определить их характер. Выполнить геометрическую иллюстрацию
Приложения:

Ответы
Ответ дал:
1
Ответ:
х=0 - точка разрыва 1 рода (скачок = 2) .
При х=П/2 функция непрерывна .
При х=4 функция терпит разрыв 2 рода .
Приложения:

Вас заинтересует
2 года назад
2 года назад
3 года назад
8 лет назад
9 лет назад
9 лет назад