Ответы
Ответ дал:
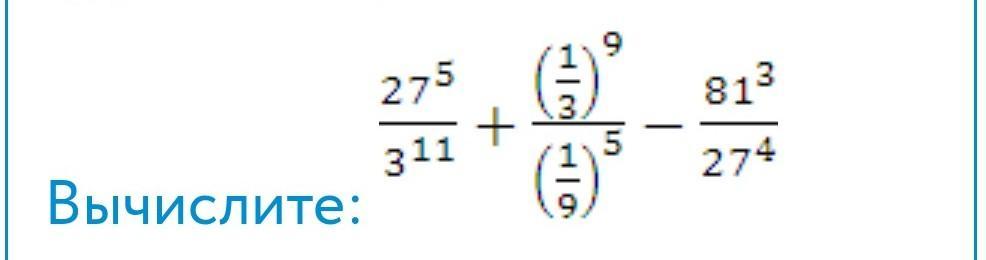
1
Объяснение:
..................<( ̄︶ ̄)↗...................
Приложения:

katyapelmeneva08:
спасибо
Вас заинтересует
2 года назад
3 года назад
3 года назад
8 лет назад
8 лет назад
9 лет назад