• Предмет: Математика
  • Автор: albina438214
  • Вопрос задан 7 лет назад

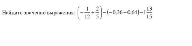
все на фото, и пожалуйста сделайте в черновике/тетраде я не понимаю(

Приложения:

Ответы

Ответ дал: PolovnikSA
1

\\(-\frac{1}{12} +\frac{2}{5} )-(-0,36-0,64)-1\frac{13}{15} = (-\frac{5}{60} +\frac{24}{60} ) - (-1) - \frac{28}{15} = \frac{19}{60} +1-\frac{28}{15}=\\\\=\frac{19}{60} +\frac{1}{1} - \frac{28}{15} = \frac{19+60-28*4}{60} = \frac{19+60-112}{60} =-\frac{33}{60} =-\frac{11}{20}


albina438214: пж, можешь написать че а конце получилось, не видно
PolovnikSA: -11/20
PolovnikSA: так видно?
albina438214: да
albina438214: благодарю
Вас заинтересует